Reynolds number influence on statistical behaviors of turbulence in a circular free jet

Mi Jianchun*; Xu Minyi; Zhou Tongming; Physics of Fluids. B 23 044704.

Abstract

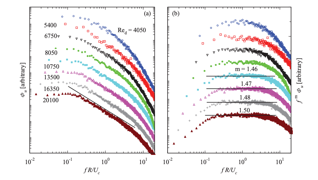
The present paper examines the effect of Reynolds number on turbulence properties in the transition region of a circular jet issuing from a smoothly contracting nozzle. Hot-wire measurements were performed for this investigation through varying the jet-exit Reynolds number Red (≡ Ujd/ν, where Uj, d, and ν are the jet-exit mean velocity, nozzle diameter, and kinematic viscosity) approximately from Red ≈ 4 × 103 to Red ≈ 2 × 104. Results reveal that the rates of the mean flow decay and spread vary with Reynolds number for Red < 104 and tend to become Reynolds-number independent at Red ≥ 104. Even more importantly, the small-scale turbulence properties, e.g., the mean rate of dissipation of kinetic energy (ɛ), the Kolmogorov and Taylor microscales, are found to vary in different forms over the Red ranges of Red > 104 and Red < 104. Namely, the critical Reynolds number appears to occur at Red,cr ≈ 104 across which the jet turbulence behaves distinctly. Two turbulence regimes are therefore identified: (i) developing or partially developed turbulence at Red < Red,cr and (ii) fully developed turbulence at Red ≥ Red,cr. It is suggested that the energy dissipation rate (DR) can be expressed as ɛ∼𝜈𝑈2𝑐/𝑅2 in regime (i) and ɛ∼𝑈3𝑐/𝑅 in regime (ii), where Uc and R are the centerline (or maximum) mean velocity and half-radius at which the mean velocity is 0.5Uc. In addition, the critical Reynolds number appears to vary from flow to flow.